Home Browse Text SearchFunctional Group SearchStructure SearchPreferences Administration

selected data collection: 1

IRIS SDF: browse content


1
  <<    <    >    >>  

1:612494 C32H38N2O6
hit structure
1:612495 C39H36N2O4
hit structure
1:612496 C27H26N2O6
hit structure
1:612497 C28H30N2O6
hit structure
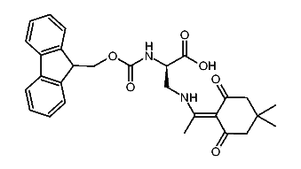
1:612498 C31H36N2O6
hit structure
1:612499 C38H34N2O4
hit structure
1:612500 C26H24N2O6
hit structure
1:612501 C18H18N2O4
hit structure
1:612502 C20H20N2O5
hit structure
1:612503 C27H25NO6
hit structure
1:612504 C31H36N2O6
hit structure
1:612505 C27H26N4O8
hit structure
1:612506 C34H42N2O6
hit structure
1:612507 C20H21NO5S
hit structure
1:612508 C20H21NO6S
hit structure
1:612509 C24H26N2O6
hit structure
1:612510 C25H30N2O6
hit structure
1:612511 C33H40N2O6
hit structure
1:612512 C19H17NO4S
hit structure
1:612513 C36H29N3O6
hit structure
1:612514 C36H37N5O5
hit structure
1:612515 C27H26N4O8
hit structure
1:612516 C34H42N2O6
hit structure
1:612517 C21H21NO4
hit structure
1:612518 C30H34N2O6
hit structure

1
  <<    <    >    >>  

entries in data collection: 622200