Home Browse Text SearchFunctional Group SearchStructure SearchPreferences Administration

selected data collection: 1

IRIS SDF: browse content


1
  <<    <    >    >>  

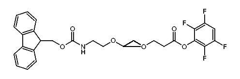
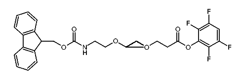
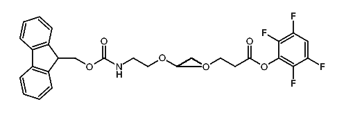
1:604183 C40H49F4NO12
hit structure
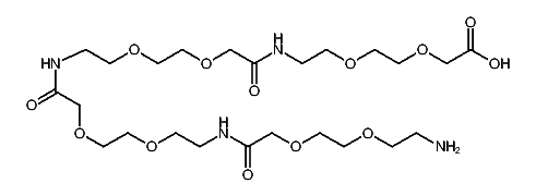
1:604184 C48H65F4NO16
hit structure
1:604185 C72H113F4NO28
hit structure
1:604186 C96H161F4NO40
hit structure
1:604187 C18H35NO8
hit structure
1:604188 C13H28N2O5
hit structure
1:604189 C15H32N2O6
hit structure
1:604190 C72H132N2O34S2
hit structure
1:604191 C9H20N2O3
hit structure
1:604192 C6H13NO4
hit structure
1:604193 C6H10KN3O4
hit structure
1:604194 C32H53N7O8S
hit structure
1:604195 C38H57N9O9S
hit structure
1:604196 C32H50N4O8S
hit structure
1:604197 C27H49N7O7S
hit structure
1:604198 C27H42N8O7S
hit structure
1:604199 C24H40N4O7S
hit structure
1:604200 C20H38N4O5S
hit structure
1:604201 C24H46N4O13
hit structure
1:604202 C11H21NO6
hit structure
1:604203 C29H52N8O8S3
hit structure
1:604204 C44H60N6O9S3
hit structure
1:604205 C13H26N4O5
hit structure
1:604206 C14H24O7
hit structure
1:604207 C25H31NO7
hit structure

1
  <<    <    >    >>  

entries in data collection: 605310