Home Browse Text SearchFunctional Group SearchStructure SearchPreferences Administration

selected data collection: 1

IRIS SDF: browse content


1
  <<    <    >    >>  

1:604158 C65H115F4NO27S2
hit structure
1:604159 C89H163F4NO39S2
hit structure
1:604160 C66H126N4O26S3
hit structure
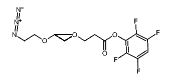
1:604161 C20H20F4N2O7
hit structure
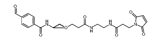
1:604162 C24H28F4N2O9
hit structure
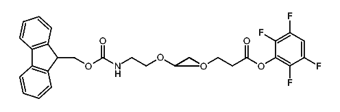
1:604163 C32H44F4N2O13
hit structure
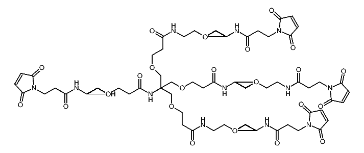
1:604164 C40H60F4N2O17
hit structure
1:604165 C64H108F4N2O29
hit structure
1:604166 C88H156F4N2O41
hit structure
1:604167 C115H209F4N3O54
hit structure
1:604168 C19H24BrF4NO7
hit structure
1:604169 C35H56BrF4NO15
hit structure
1:604170 C59H104BrF4NO27
hit structure
1:604171 C44H70N4O18
hit structure
1:604172 C57H101F4N3O26
hit structure
1:604173 C81H149F4N3O38
hit structure
1:604174 C140H246N12O64
hit structure
1:604175 C120H230Br4N8O56
hit structure
1:604176 C53H108N2O25
hit structure
1:604177 C26H45NO15
hit structure
1:604178 C58H109NO31
hit structure
1:604179 C67H117F4N3O28S
hit structure
1:604180 C31H44F4N4O9S
hit structure
1:604181 C47H76F4N4O17S
hit structure
1:604182 C32H33F4NO8
hit structure

1
  <<    <    >    >>  

entries in data collection: 605310