Home Browse Text SearchFunctional Group SearchStructure SearchPreferences Administration

selected data collection: 1

IRIS SDF: browse content


1
  <<    <    >    >>  

1:600082 C18H23N3O6S
hit structure
1:600083 C17H19N5O8
hit structure
1:600084 C17H24N2O6
hit structure
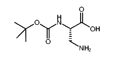
1:600085 C12H20N2O6
hit structure
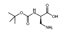
1:600086 C12H20N2O6
hit structure
1:600087 C10H17BrN2O5
hit structure
1:600088 C14H18N4O8
hit structure
1:600089 C16H22N2O6
hit structure
1:600090 C8H16N2O4
hit structure
1:600091 C22H24N2O6
hit structure
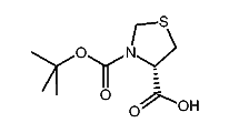
1:600092 C8H15NO4S
hit structure
1:600093 C19H30N2O6
hit structure
1:600094 C12H20N2O6
hit structure
1:600095 C12H20N2O6
hit structure
1:600096 C18H28N2O6
hit structure
1:600097 C14H18N4O8
hit structure
1:600098 C16H22N2O6
hit structure
1:600099 C8H16N2O4
hit structure
1:600100 C23H26N2O6
hit structure
1:600101 C25H30N2O6
hit structure
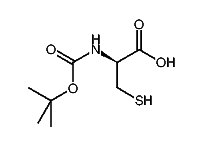
1:600102 C9H15NO4S
hit structure
1:600103 C17H20N2O4
hit structure
1:600104 C19H30N2O6
hit structure
1:600105 C15H20N4O8
hit structure
1:600106 C18H28N2O6
hit structure

1
  <<    <    >    >>  

entries in data collection: 605310