Home Browse Text SearchFunctional Group SearchStructure SearchPreferences Administration

selected data collection: 1

IRIS SDF: browse content


1
  <<    <    >    >>  

1:600057 C25H30N2O6
hit structure
1:600058 C18H26N2O6
hit structure
1:600059 C10H20N2O4
hit structure
1:600060 C14H18FNO4
hit structure
1:600061 C14H18FNO4
hit structure
1:600062 C14H19NO4
hit structure
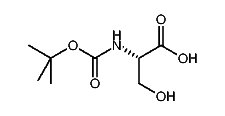
1:600063 C13H17NO4
hit structure
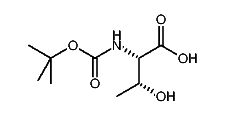
1:600064 C11H19NO4
hit structure
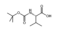
1:600065 C10H17NO4
hit structure
1:600066 C15H21NO5
hit structure
1:600067 C8H15NO5
hit structure
1:600068 C16H23NO5
hit structure
1:600069 C9H17NO5
hit structure
1:600070 C9H15NO4S
hit structure
1:600071 C15H19NO4
hit structure
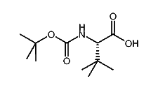
1:600072 C11H21NO4
hit structure
1:600073 C21H28N2O6
hit structure
1:600074 C17H20N2O5
hit structure
1:600075 C16H20N2O4
hit structure
1:600076 C22H24BrNO7
hit structure
1:600077 C17H23NO5
hit structure
1:600078 C21H25NO5
hit structure
1:600079 C14H19NO5
hit structure
1:600080 C10H19NO4
hit structure
1:600081 C11H19NO4
hit structure

1
  <<    <    >    >>  

entries in data collection: 605310