Home Browse Text SearchFunctional Group SearchStructure SearchPreferences Administration

selected data collection: 1

IRIS SDF: browse content


1
  <<    <    >    >>  

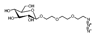
1:591203 C12H23N3O8
hit structure
1:591204 C15H26O9
hit structure
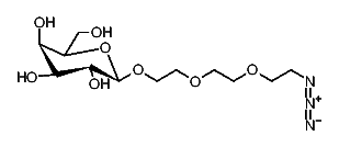
1:591205 C12H23N3O8
hit structure
1:591206 C15H26O9
hit structure
1:591207 C14H26N4O8
hit structure
1:591208 C17H29NO9
hit structure
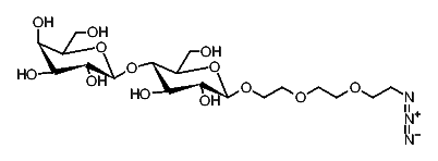
1:591209 C18H33N3O13
hit structure
1:591210 C21H36O14
hit structure
1:591211 C12H23N3O8
hit structure
1:591212 C15H26O9
hit structure
1:591213 C8H15N3O6
hit structure
1:591214 C8H15N3O6
hit structure
1:591215 C8H15N3O6
hit structure
1:591216 C10H18N4O6
hit structure
1:591217 C14H25N3O11
hit structure
1:591218 C15H28O11
hit structure
1:591219 C17H31NO11
hit structure
1:591220 C17H31NO11
hit structure
1:591221 C15H28O11
hit structure
1:591222 C11H20O8
hit structure
1:591223 C11H20O8
hit structure
1:591224 C13H23NO8
hit structure
1:591225 C13H23NO8
hit structure
1:591226 C11H20O8
hit structure
1:591227 C31H36N6O7
hit structure

1
  <<    <    >    >>  

entries in data collection: 594050