Home Browse Text SearchFunctional Group SearchStructure SearchPreferences Administration

selected data collection: 1

IRIS SDF: browse content


1
  <<    <    >    >>  

1:591178 C17H18N2O2
hit structure
1:591179 C21H26N2O2
hit structure
1:591180 C19H20N2O2
hit structure
1:591181 C25H34N2O5
hit structure
1:591182 C17H16N4O2
hit structure
1:591183 C18H18N4O2
hit structure
1:591184 C28H35N3O7
hit structure
1:591185 C35H48N4O9
hit structure
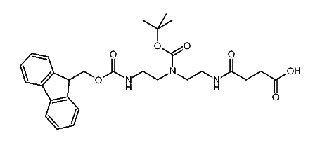
1:591186 C42H61N5O12
hit structure
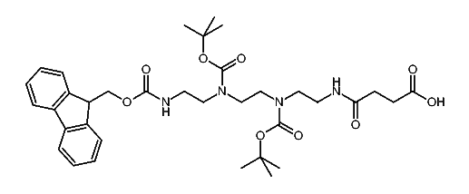
1:591187 C33H37N3O13
hit structure
1:591188 C32H36N2O13
hit structure
1:591189 C56H65N3O24
hit structure
1:591190 C33H38N2O13
hit structure
1:591191 C44H52N2O21
hit structure
1:591192 C45H54N2O21
hit structure
1:591193 C32H36N2O13
hit structure
1:591194 C6H12O6
hit structure
1:591195 C33H36N2O14
hit structure
1:591196 C32H35NO14
hit structure
1:591197 C32H35NO14
hit structure
1:591198 C33H37NO14
hit structure
1:591199 C33H38N2O13
hit structure
1:591200 C9H18O5S
hit structure
1:591201 C14H26N4O8
hit structure
1:591202 C17H29NO9
hit structure

1
  <<    <    >    >>  

entries in data collection: 594050