Home Browse Text SearchFunctional Group SearchStructure SearchPreferences Administration

selected data collection: 1

IRIS SDF: browse content


1
  <<    <    >    >>  

1:570321 C108H203F4NO51
hit structure
1:570322 C85H153F4N5O33
hit structure
1:570323 C53H105NO27
hit structure
1:570324 C33H49F4N5O13
hit structure
1:570325 C59H105F4NO27
hit structure
1:570326 C49H81F4N5O21
hit structure
1:570327 C24H50N4O12
hit structure
1:570328 C73H129F4N5O33
hit structure
1:570329 C28H36F4N2O11
hit structure
1:570330 C59H107N7O21
hit structure
1:570331 C17H21F4N3O6
hit structure
1:570332 C33H53F4N3O14
hit structure
1:570333 C47H83N7O21
hit structure
1:570334 C86H159N3O43
hit structure
1:570335 C71H131N7O33
hit structure
1:570336 C28H56O15
hit structure
1:570337 C32H59NO17
hit structure
1:570338 C34H56F4O15
hit structure
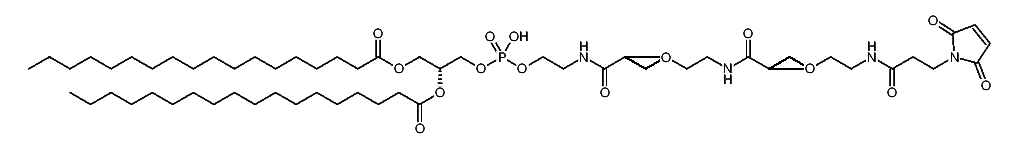
1:570339 C150H289N4O61P
hit structure
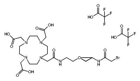
1:570340 C30H49BrF6N6O15
hit structure
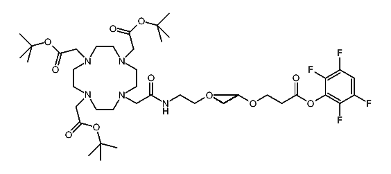
1:570341 C118H233N2O46P
hit structure
1:570342 C42H79BrN6O19
hit structure
1:570343 C144H285N2O59P
hit structure
1:570344 C109H205F4NO52
hit structure
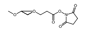
1:570345 C25H28O3S
hit structure

1
  <<    <    >    >>  

entries in data collection: 571530