Home Browse Text SearchFunctional Group SearchStructure SearchPreferences Administration

selected data collection: 1

IRIS SDF: browse content


1
  <<    <    >    >>  

1:570296 C32H34N2O5S
hit structure
1:570297 C25H45N3O10S
hit structure
1:570298 C30H36O6S
hit structure
1:570299 C12H25N3O6
hit structure
1:570300 C27H32O4S
hit structure
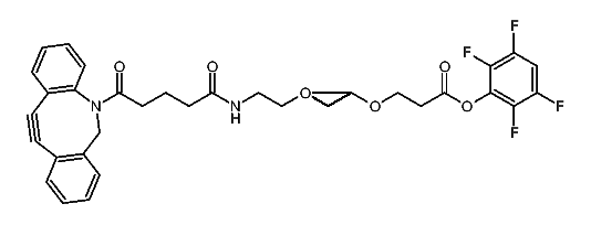
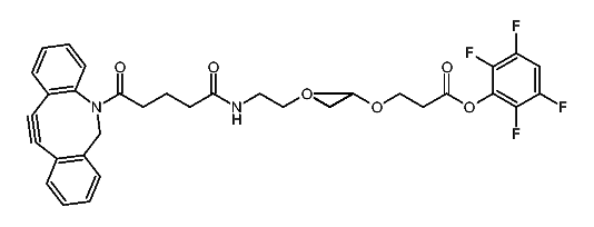
1:570301 C37H38F4N2O8
hit structure
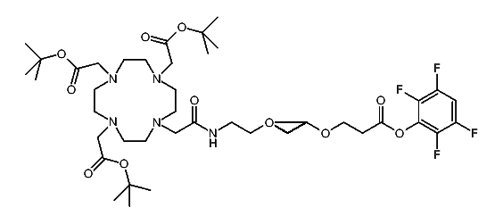
1:570302 C53H70F4N2O16
hit structure
1:570303 C77H118F4N2O28
hit structure
1:570304 C101H166F4N2O40
hit structure
1:570305 C52H74N4O17
hit structure
1:570306 C76H122N4O29
hit structure
1:570307 C31H38BrN3O7
hit structure
1:570308 C25H37N7O6S
hit structure
1:570309 C47H70BrN3O15
hit structure
1:570310 C23H38N4O6S
hit structure
1:570311 C71H118BrN3O27
hit structure
1:570312 C11H17NO5
hit structure
1:570313 C55H83N5O16S
hit structure
1:570314 C33H45N3O12
hit structure
1:570315 C66H79N3O20
hit structure
1:570316 C13H28N2O5
hit structure
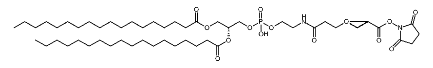
1:570317 C75H141N2O26P
hit structure
1:570318 C45H73F4N5O13
hit structure
1:570319 C69H136NO22P
hit structure
1:570320 C61H105F4N5O21
hit structure

1
  <<    <    >    >>  

entries in data collection: 571530