Home Browse Text SearchFunctional Group SearchStructure SearchPreferences Administration

selected data collection: 1

IRIS SDF: browse content


1
  <<    <    >    >>  

1:547836 C159H310N7O65P
hit structure
1:547837 C165H298N3O64P
hit structure
1:547838 C164H319N6O65PS
hit structure
1:547839 C201H390N5O86P
hit structure
1:547840 C237H460N12O112
hit structure
1:547841 C141H256N12O64
hit structure
1:547842 C10H19BrN4O4
hit structure
1:547843 C26H51BrN4O12
hit structure
1:547844 C50H99BrN4O24
hit structure
1:547845 C10H24N4O5S
hit structure
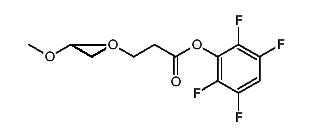
1:547846 C17H22F4O7
hit structure
1:547847 C33H54F4O15
hit structure
1:547848 C57H102F4O27
hit structure
1:547849 C94H149N5O39
hit structure
1:547850 C32H52F4O14
hit structure
1:547851 C56H100F4O26
hit structure
1:547852 C58H104F4O27
hit structure
1:547853 C68H114N2O26
hit structure
1:547854 C45H68N2O14
hit structure
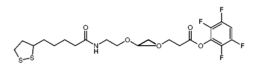
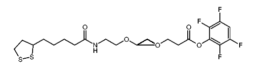
1:547855 C25H35F4NO7S2
hit structure
1:547856 C33H51F4NO11S2
hit structure
1:547857 C41H67F4NO15S2
hit structure
1:547858 C65H115F4NO27S2
hit structure
1:547859 C89H163F4NO39S2
hit structure
1:547860 C66H126N4O26S3
hit structure

1
  <<    <    >    >>  

entries in data collection: 549010