Home Browse Text SearchFunctional Group SearchStructure SearchPreferences Administration

selected data collection: 1

IRIS SDF: browse content


1
  <<    <    >    >>  

1:547811 C17H21F4N3O6
hit structure
1:547812 C33H53F4N3O14
hit structure
1:547813 C47H83N7O21
hit structure
1:547814 C86H159N3O43
hit structure
1:547815 C71H131N7O33
hit structure
1:547816 C28H56O15
hit structure
1:547817 C32H59NO17
hit structure
1:547818 C34H56F4O15
hit structure
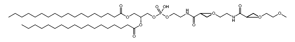
1:547819 C150H289N4O61P
hit structure
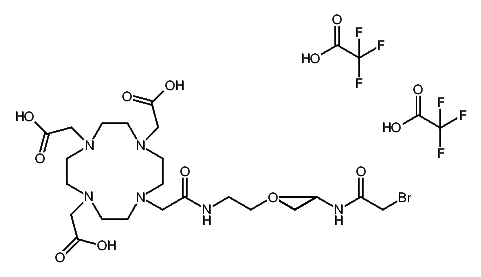
1:547820 C30H49BrF6N6O15
hit structure
1:547821 C118H233N2O46P
hit structure
1:547822 C42H79BrN6O19
hit structure
1:547823 C144H285N2O59P
hit structure
1:547824 C109H205F4NO52
hit structure
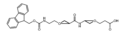
1:547825 C25H28O3S
hit structure
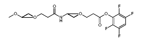
1:547826 C103H205NO52
hit structure
1:547827 C78H151BrN6O31
hit structure
1:547828 C117H214N2O53
hit structure
1:547829 C110H210N2O53
hit structure
1:547830 C102H204N2O51
hit structure
1:547831 C28H54Br2N2O13
hit structure
1:547832 C193H296N12O60
hit structure
1:547833 C64H82N4O15
hit structure
1:547834 C93H184NO34P
hit structure
1:547835 C163H299N4O60P
hit structure

1
  <<    <    >    >>  

entries in data collection: 549010