Home Browse Text SearchFunctional Group SearchStructure SearchPreferences Administration

selected data collection: 1

IRIS SDF: browse content


1
  <<    <    >    >>  

1:547453 C49H101NO24
hit structure
1:547454 C56H106N2O27
hit structure
1:547455 C9H21NO4
hit structure
1:547456 C9H19N3O4
hit structure
1:547457 C17H37NO8
hit structure
1:547458 C17H35N3O8
hit structure
1:547459 C49H99N3O24
hit structure
1:547460 C15H33NO7
hit structure
1:547461 C39H54O11S
hit structure
1:547462 C31H38O7S
hit structure
1:547463 C35H61NO16
hit structure
1:547464 C59H109NO28
hit structure
1:547465 C23H37NO10
hit structure
1:547466 C27H45NO12
hit structure
1:547467 C31H43N3O9
hit structure
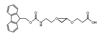
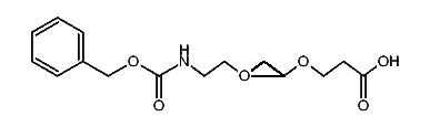
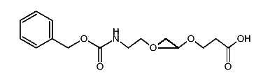
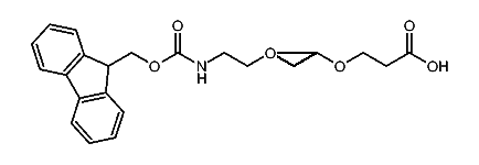
1:547468 C22H25NO6
hit structure
1:547469 C66H113NO28
hit structure
1:547470 C26H33NO8
hit structure
1:547471 C30H41NO10
hit structure
1:547472 C34H49NO12
hit structure
1:547473 C29H47N5O11S
hit structure
1:547474 C41H72N4O18S
hit structure
1:547475 C25H40N4O10S
hit structure
1:547476 C14H23NO8
hit structure
1:547477 C22H39NO12
hit structure

1
  <<    <    >    >>  

entries in data collection: 549010