Home Browse Text SearchFunctional Group SearchStructure SearchPreferences Administration

selected data collection: 1

IRIS SDF: browse content


1
  <<    <    >    >>  

1:547428 C24H34N4O9
hit structure
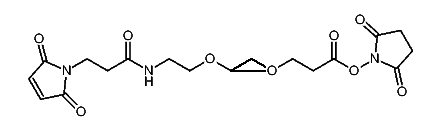
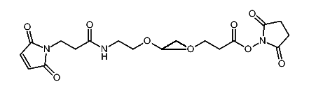
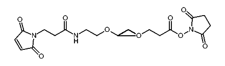
1:547429 C19H29NO8
hit structure
1:547430 C34H70N4O13
hit structure
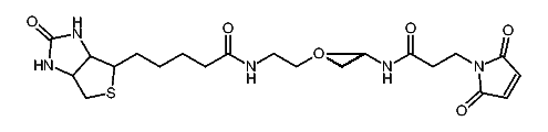
1:547431 C21H37N3O8S
hit structure
1:547432 C15H30O7
hit structure
1:547433 C23H46O11
hit structure
1:547434 C38H63N3O19
hit structure
1:547435 C14H20N2O7
hit structure
1:547436 C18H23N3O9
hit structure
1:547437 C62H111N3O31
hit structure
1:547438 C18H28N2O9
hit structure
1:547439 C22H31N3O11
hit structure
1:547440 C26H39N3O13
hit structure
1:547441 C30H47N3O15
hit structure
1:547442 C41H71N5O16S
hit structure
1:547443 C58H108N2O29
hit structure
1:547444 C27H43N5O8S
hit structure
1:547445 C26H44N2O13
hit structure
1:547446 C10H20O6
hit structure
1:547447 C18H36O10
hit structure
1:547448 C6H12O4
hit structure
1:547449 C52H104O27
hit structure
1:547450 C25H53NO12
hit structure
1:547451 C25H51N3O12
hit structure
1:547452 C32H58N2O15
hit structure

1
  <<    <    >    >>  

entries in data collection: 549010