Home Browse Text SearchFunctional Group SearchStructure SearchPreferences Administration

selected data collection: 1

IRIS SDF: browse content


1
  <<    <    >    >>  

1:541839 C66H113NO28
hit structure
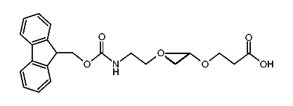
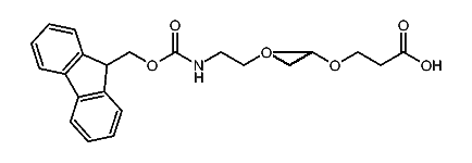
1:541840 C26H33NO8
hit structure
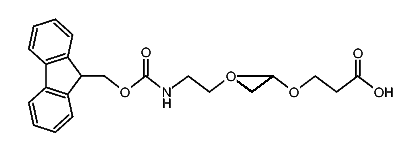
1:541841 C30H41NO10
hit structure
1:541842 C34H49NO12
hit structure
1:541843 C29H47N5O11S
hit structure
1:541844 C41H72N4O18S
hit structure
1:541845 C25H40N4O10S
hit structure
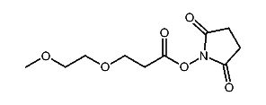
1:541846 C14H23NO8
hit structure
1:541847 C22H39NO12
hit structure
1:541848 C30H55NO16
hit structure
1:541849 C56H107NO29
hit structure
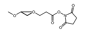
1:541850 C10H15NO6
hit structure
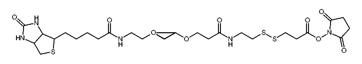
1:541851 C30H49N5O11S3
hit structure
1:541852 C13H27NO6
hit structure
1:541853 C16H31NO8
hit structure
1:541854 C10H11NO5
hit structure
1:541855 C17H27NO9S
hit structure
1:541856 C25H43NO13S
hit structure
1:541857 C29H59NO14
hit structure
1:541858 C11H22O6S
hit structure
1:541859 C16H4F10O5
hit structure
1:541860 C12H12N2O9
hit structure
1:541861 C64H127NO32
hit structure
1:541862 C56H116N2O27
hit structure
1:541863 C27H55NO9S
hit structure

1
  <<    <    >    >>  

entries in data collection: 554640