Home Browse Text SearchFunctional Group SearchStructure SearchPreferences Administration

selected data collection: 1

IRIS SDF: browse content


1
  <<    <    >    >>  

1:541814 C27H43N5O8S
hit structure
1:541815 C26H44N2O13
hit structure
1:541816 C10H20O6
hit structure
1:541817 C18H36O10
hit structure
1:541818 C6H12O4
hit structure
1:541819 C52H104O27
hit structure
1:541820 C25H53NO12
hit structure
1:541821 C25H51N3O12
hit structure
1:541822 C32H58N2O15
hit structure
1:541823 C49H101NO24
hit structure
1:541824 C56H106N2O27
hit structure
1:541825 C9H21NO4
hit structure
1:541826 C9H19N3O4
hit structure
1:541827 C17H37NO8
hit structure
1:541828 C17H35N3O8
hit structure
1:541829 C49H99N3O24
hit structure
1:541830 C15H33NO7
hit structure
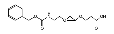
1:541831 C39H54O11S
hit structure
1:541832 C31H38O7S
hit structure
1:541833 C35H61NO16
hit structure
1:541834 C59H109NO28
hit structure
1:541835 C23H37NO10
hit structure
1:541836 C27H45NO12
hit structure
1:541837 C31H43N3O9
hit structure
1:541838 C22H25NO6
hit structure

1
  <<    <    >    >>  

entries in data collection: 554640