Home Browse Text SearchFunctional Group SearchStructure SearchPreferences Administration

selected data collection: 1

IRIS SDF: browse content


1
  <<    <    >    >>  

1:522917 C31H27NO4S
hit structure
1:522918 C38H33NO4S
hit structure
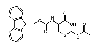
1:522919 C27H27NO4S
hit structure
1:522920 C26H20F3N3O4
hit structure
1:522921 C29H38N2O9
hit structure
1:522922 C31H28N2O8
hit structure
1:522923 C32H30N2O8
hit structure
1:522924 C27H26N2O4
hit structure
1:522925 C27H35NO4
hit structure
1:522926 C27H35NO4
hit structure
1:522927 C26H25NO5
hit structure
1:522928 C38H33NO4S
hit structure
1:522929 C30H38N4O8
hit structure
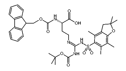
1:522930 C38H46N4O9S
hit structure
1:522931 C30H38N4O8
hit structure
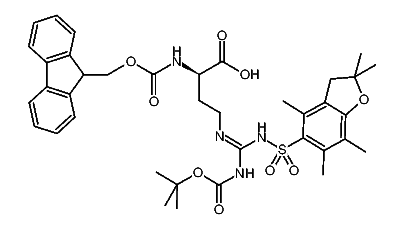
1:522932 C38H46N4O9S
hit structure
1:522933 C28H29NO5
hit structure
1:522934 C25H30N4O7
hit structure
1:522935 C29H36N4O8
hit structure
1:522936 C37H44N4O9S
hit structure
1:522937 C21H22N2O5S
hit structure
1:522938 C37H36N4O8
hit structure
1:522939 C27H28N2O8
hit structure
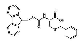
1:522940 C25H23NO4S
hit structure
1:522941 C30H25NO4
hit structure

1
  <<    <    >    >>  

entries in data collection: 537750