Home Browse Text SearchFunctional Group SearchStructure SearchPreferences Administration

selected data collection: 1

IRIS SDF: browse content


1
  <<    <    >    >>  

1:522892 C21H23NO4S
hit structure
1:522893 C38H46N2O4
hit structure
1:522894 C30H31NO7
hit structure
1:522895 C21H23NO4
hit structure
1:522896 C21H23NO4
hit structure
1:522897 C23H25NO4
hit structure
1:522898 C22H23NO5
hit structure
1:522899 C22H23NO4
hit structure
1:522900 C24H27NO4
hit structure
1:522901 C24H21NO4
hit structure
1:522902 C25H23NO4
hit structure
1:522903 C21H22N2O4
hit structure
1:522904 C20H19NO5
hit structure
1:522905 C23H27N3O4
hit structure
1:522906 C22H18N2O5
hit structure
1:522907 C22H21N3O4
hit structure
1:522908 C22H21N3O4
hit structure
1:522909 C45H58N4O8SSi
hit structure
1:522910 C38H50N2O11
hit structure
1:522911 C20H19NO4
hit structure
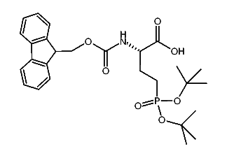
1:522912 C27H36NO7P
hit structure
1:522913 C33H40NO7P
hit structure
1:522914 C25H22F2NO7P
hit structure
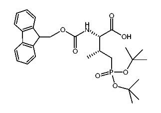
1:522915 C28H38NO7P
hit structure
1:522916 C24H28N2O6
hit structure

1
  <<    <    >    >>  

entries in data collection: 537750