Home Browse Text SearchFunctional Group SearchStructure SearchPreferences Administration

selected data collection: 1

IRIS SDF: browse content


1
  <<    <    >    >>  

1:521525 C8H12F2KNO4
hit structure
1:521526 C11H16F3NO4
hit structure
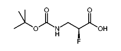
1:521527 C10H16FNO4
hit structure
1:521528 C10H16FNO4
hit structure
1:521529 C10H15F2NO4
hit structure
1:521530 C26H30N2O6
hit structure
1:521531 C24H28N2O6
hit structure
1:521532 C14H17F2NO4
hit structure
1:521533 C8H14FNO4
hit structure
1:521534 C8H14FNO4
hit structure
1:521535 C28H36F2N2O8
hit structure
1:521536 C20H21F2NO4
hit structure
1:521537 C14H16F9NO5
hit structure
1:521538 C14H16F9NO5
hit structure
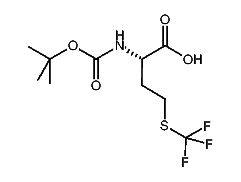
1:521539 C10H16F3NO4S
hit structure
1:521540 C10H17N3O4
hit structure
1:521541 C16H28N4O6
hit structure
1:521542 C11H19N3O4
hit structure
1:521543 C10H15N3O4
hit structure
1:521544 C10H16N4O4
hit structure
1:521545 C10H16N4O4
hit structure
1:521546 C13H17NO4
hit structure
1:521547 C14H19NO4S
hit structure
1:521548 C11H16N2O4
hit structure
1:521549 C15H21NO4
hit structure

1
  <<    <    >    >>  

entries in data collection: 526490