Home Browse Text SearchFunctional Group SearchStructure SearchPreferences Administration

selected data collection: 1

IRIS SDF: browse content


1
  <<    <    >    >>  

1:521500 C12H23NO4
hit structure
1:521501 C13H25NO4
hit structure
1:521502 C14H27NO4
hit structure
1:521503 C12H23NO4
hit structure
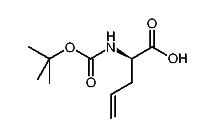
1:521504 C11H21NO4
hit structure
1:521505 C10H18ClNO4
hit structure
1:521506 C12H23NO4
hit structure
1:521507 C15H21NO4
hit structure
1:521508 C14H19NO4
hit structure
1:521509 C10H17NO4
hit structure
1:521510 C14H25NO4
hit structure
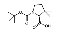
1:521511 C12H21NO4
hit structure
1:521512 C12H21NO4
hit structure
1:521513 C21H25NO5
hit structure
1:521514 C9H15NO4
hit structure
1:521515 C9H15NO4
hit structure
1:521516 C17H25N3O8S
hit structure
1:521517 C11H21NO5
hit structure
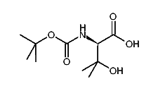
1:521518 C10H19NO5
hit structure
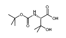
1:521519 C10H19NO5
hit structure
1:521520 C12H21NO4
hit structure
1:521521 C12H21NO4
hit structure
1:521522 C16H23NO4
hit structure
1:521523 C9H14F3NO4
hit structure
1:521524 C9H14F3NO4
hit structure

1
  <<    <    >    >>  

entries in data collection: 526490