Home Browse Text SearchFunctional Group SearchStructure SearchPreferences Administration

selected data collection: 1

IRIS SDF: browse content


1
  <<    <    >    >>  

1:509301 C2H3F3O
hit structure
1:509302 C5H9NO
hit structure
1:509303 C6H14O3S
hit structure
1:509304 C19H17P
hit structure
1:509305 C7H7ClO2S
hit structure
1:509306 C12H14O2
hit structure
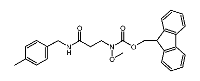
1:509307 C27H28N2O4
hit structure
1:509308 C9H11ClO2S
hit structure
1:509309 C13H21N
hit structure
1:509310 C12H14O2
hit structure
1:509311 C9H12O3S
hit structure
1:509312 C9H12O3S
hit structure
1:509313 C12H17NO
hit structure
1:509314 C9H9NO
hit structure
1:509315 C19H17P
hit structure
1:509316 C7H8O3S
hit structure
1:509317 C7H7NaO3S
hit structure
1:509318 C16H16O2
hit structure
1:509319 C8H8O2
hit structure
1:509320 C14H24ClN
hit structure
1:509321 C8H11N
hit structure
1:509322 C14H21N
hit structure
1:509323 C73H63P4Pd
hit structure
1:509324 C23H22N2O3
hit structure
1:509325 C23H22N2O3
hit structure

1
  <<    <    >    >>  

entries in data collection: 509600