Home Browse Text SearchFunctional Group SearchStructure SearchPreferences Administration

selected data collection: 1

IRIS SDF: browse content


1
  <<    <    >    >>  

1:509276 C29H31NO5
hit structure
1:509277 C31H37NO6
hit structure
1:509278 C32H39NO6
hit structure
1:509279 C37H41NO6
hit structure
1:509280 C29H33NO5
hit structure
1:509281 C40H42N2O7
hit structure
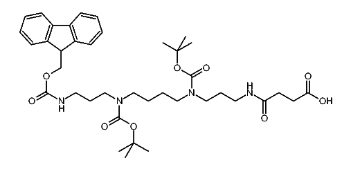
1:509282 C89H91N7O14
hit structure
1:509283 C96H98N8O15
hit structure
1:509284 C25H50N4O6
hit structure
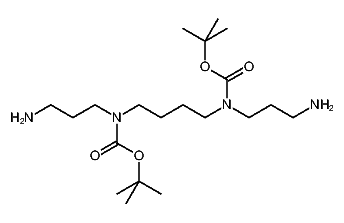
1:509285 C20H42N4O4
hit structure
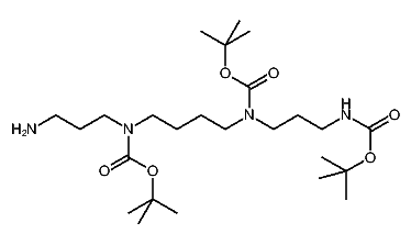
1:509286 C39H56N4O9
hit structure
1:509287 C10H24N6
hit structure
1:509288 C31H58N4O10
hit structure
1:509289 C20H42N4O4
hit structure
1:509290 C10H22N8
hit structure
1:509291 C29H54N4O9
hit structure
1:509292 C25H48N6O6
hit structure
1:509293 C28H50N4O10
hit structure
1:509294 CH2Cl2
hit structure
1:509295 C3H7NO
hit structure
1:509296 C4H10O
hit structure
1:509297 C3H2F6O
hit structure
1:509298 C5H9NO
hit structure
1:509299 C5H11N
hit structure
1:509300 C2HF3O2
hit structure

1
  <<    <    >    >>  

entries in data collection: 509600