Home Browse Text SearchFunctional Group SearchStructure SearchPreferences Administration

selected data collection: 1

IRIS SDF: browse content


1
  <<    <    >    >>  

1:508395 C59H105F4NO27
hit structure
1:508396 C49H81F4N5O21
hit structure
1:508397 C24H50N4O12
hit structure
1:508398 C73H129F4N5O33
hit structure
1:508399 C28H36F4N2O11
hit structure
1:508400 C59H107N7O21
hit structure
1:508401 C17H21F4N3O6
hit structure
1:508402 C33H53F4N3O14
hit structure
1:508403 C47H83N7O21
hit structure
1:508404 C86H159N3O43
hit structure
1:508405 C71H131N7O33
hit structure
1:508406 C28H56O15
hit structure
1:508407 C32H59NO17
hit structure
1:508408 C34H56F4O15
hit structure
1:508409 C150H289N4O61P
hit structure
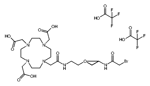
1:508410 C30H49BrF6N6O15
hit structure
1:508411 C118H233N2O46P
hit structure
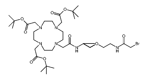
1:508412 C42H79BrN6O19
hit structure
1:508413 C144H285N2O59P
hit structure
1:508414 C109H205F4NO52
hit structure
1:508415 C25H28O3S
hit structure
1:508416 C103H205NO52
hit structure
1:508417 C78H151BrN6O31
hit structure
1:508418 C117H214N2O53
hit structure
1:508419 C110H210N2O53
hit structure

1
  <<    <    >    >>  

entries in data collection: 509600