Home Browse Text SearchFunctional Group SearchStructure SearchPreferences Administration

selected data collection: 1

IRIS SDF: browse content


1
  <<    <    >    >>  

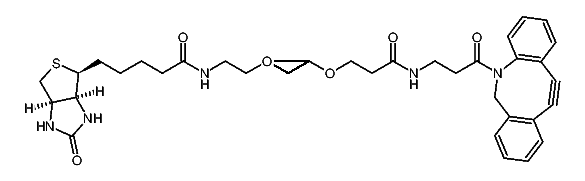
1:508370 C27H32O4S
hit structure
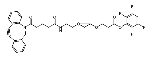
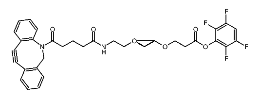
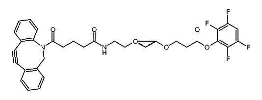
1:508371 C37H38F4N2O8
hit structure
1:508372 C53H70F4N2O16
hit structure
1:508373 C77H118F4N2O28
hit structure
1:508374 C101H166F4N2O40
hit structure
1:508375 C52H74N4O17
hit structure
1:508376 C76H122N4O29
hit structure
1:508377 C31H38BrN3O7
hit structure
1:508378 C25H37N7O6S
hit structure
1:508379 C47H70BrN3O15
hit structure
1:508380 C23H38N4O6S
hit structure
1:508381 C71H118BrN3O27
hit structure
1:508382 C11H17NO5
hit structure
1:508383 C55H83N5O16S
hit structure
1:508384 C33H45N3O12
hit structure
1:508385 C66H79N3O20
hit structure
1:508386 C13H28N2O5
hit structure
1:508387 C75H141N2O26P
hit structure
1:508388 C45H73F4N5O13
hit structure
1:508389 C69H136NO22P
hit structure
1:508390 C61H105F4N5O21
hit structure
1:508391 C108H203F4NO51
hit structure
1:508392 C85H153F4N5O33
hit structure
1:508393 C53H105NO27
hit structure
1:508394 C33H49F4N5O13
hit structure

1
  <<    <    >    >>  

entries in data collection: 509600