Home Browse Text SearchFunctional Group SearchStructure SearchPreferences Administration

selected data collection: 1

IRIS SDF: browse content


1
  <<    <    >    >>  

1:507112 C16H30N2O4
hit structure
1:507113 C7H13NO2
hit structure
1:507114 C16H30N2O4
hit structure
1:507115 C14H22N2O4
hit structure
1:507116 C14H22N2O4
hit structure
1:507117 C18H30N2O4
hit structure
1:507118 C6H13NO2
hit structure
1:507119 C7H15NO2
hit structure
1:507120 C8H17NO2
hit structure
1:507121 C9H19NO2
hit structure
1:507122 C7H15NO2
hit structure
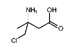
1:507123 C5H10ClNO2
hit structure
1:507124 C6H11NO2
hit structure
1:507125 C9H17NO2
hit structure
1:507126 C10H19NO2
hit structure
1:507127 C7H15NO2
hit structure
1:507128 C7H13NO2
hit structure
1:507129 C7H13NO3
hit structure
1:507130 C5H9NO2
hit structure
1:507131 C6H11NO2
hit structure
1:507132 C9H11NO2
hit structure
1:507133 C9H11NO2
hit structure
1:507134 C14H21N7O4
hit structure
1:507135 C6H10F3NO2
hit structure
1:507136 C12H12F3NO3
hit structure

1
  <<    <    >    >>  

entries in data collection: 509600