Home Browse Text SearchFunctional Group SearchStructure SearchPreferences Administration

selected data collection: 1

IRIS SDF: browse content


1
  <<    <    >    >>  

1:507087 C14H22N2O4
hit structure
1:507088 C18H30N2O4
hit structure
1:507089 C7H13NO2
hit structure
1:507090 C6H13NO2
hit structure
1:507091 C7H15NO2
hit structure
1:507092 C8H17NO2
hit structure
1:507093 C9H19NO2
hit structure
1:507094 C7H15NO2
hit structure
1:507095 C6H13NO2
hit structure
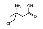
1:507096 C5H10ClNO2
hit structure
1:507097 C9H17NO2
hit structure
1:507098 C10H19NO2
hit structure
1:507099 C7H15NO2
hit structure
1:507100 C7H13NO2
hit structure
1:507101 C7H13NO3
hit structure
1:507102 C5H9NO2
hit structure
1:507103 C6H11NO2
hit structure
1:507104 C16H26N2O4
hit structure
1:507105 C16H22N2O4
hit structure
1:507106 C18H34N2O4
hit structure
1:507107 C18H30N2O4
hit structure
1:507108 C8H15NO2
hit structure
1:507109 C7H13NO2
hit structure
1:507110 C12H18N2O4
hit structure
1:507111 C14H26N2O4
hit structure

1
  <<    <    >    >>  

entries in data collection: 509600