Home Browse Text SearchFunctional Group SearchStructure SearchPreferences Administration

selected data collection: 1

IRIS SDF: browse content


1
  <<    <    >    >>  

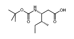
1:479920 C12H23NO4
hit structure
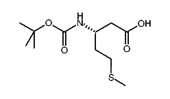
1:479921 C12H23NO4
hit structure
1:479922 C11H21NO4S
hit structure
1:479923 C18H32N2O8Se2
hit structure
1:479924 C27H34N2O6
hit structure
1:479925 C14H16N2O6
hit structure
1:479926 C14H17NO4
hit structure
1:479927 C27H40N4O7S
hit structure
1:479928 C27H43N7O7S
hit structure
1:479929 C8H17NO3
hit structure
1:479930 C8H17NO3
hit structure
1:479931 C16H24N2O5
hit structure
1:479932 C10H21NO3
hit structure
1:479933 C8H17NO3
hit structure
1:479934 C16H24N2O5
hit structure
1:479935 C14H21NO3
hit structure
1:479936 C10H19NO3
hit structure
1:479937 C5H11NO3
hit structure
1:479938 C11H21NO3
hit structure
1:479939 C10H21NO3
hit structure
1:479940 C7H15NO3
hit structure
1:479941 C8H17NO3
hit structure
1:479942 C10H21NO3S
hit structure
1:479943 C14H21NO3
hit structure
1:479944 C10H19NO3
hit structure

1
  <<    <    >    >>  

entries in data collection: 483842