Home Browse Text SearchFunctional Group SearchStructure SearchPreferences Administration

selected data collection: 1

IRIS SDF: browse content


1
  <<    <    >    >>  

1:479895 C18H28N2O6S
hit structure
1:479896 C12H23NO4
hit structure
1:479897 C16H22N2O6S
hit structure
1:479898 C14H22N2O6S
hit structure
1:479899 C18H27NO4S
hit structure
1:479900 C15H21NO4
hit structure
1:479901 C20H22N2O6
hit structure
1:479902 C18H22N2O6
hit structure
1:479903 C11H19NO4
hit structure
1:479904 C14H20N2O6
hit structure
1:479905 C19H24N2O7
hit structure
1:479906 C20H26N2O7
hit structure
1:479907 C17H22N2O4
hit structure
1:479908 C22H23N3O6
hit structure
1:479909 C20H23N3O6
hit structure
1:479910 C16H22N2O6
hit structure
1:479911 C14H22N2O6
hit structure
1:479912 C15H18N2O4
hit structure
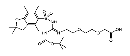
1:479913 C23H35N3O8S
hit structure
1:479914 C25H39N3O9S
hit structure
1:479915 C9H17NO4
hit structure
1:479916 C15H21NO4
hit structure
1:479917 C11H19NO4
hit structure
1:479918 C9H17NO4
hit structure
1:479919 C10H18N2O5
hit structure

1
  <<    <    >    >>  

entries in data collection: 483842