Home Browse Text SearchFunctional Group SearchStructure SearchPreferences Administration

selected data collection: 1

IRIS SDF: browse content


1
  <<    <    >    >>  

1:779067 C11H10N4O2
hit structure
1:779068 C20H28N4O7
hit structure
1:779069 C15H13N5O4
hit structure
1:779070 C24H31N5O9
hit structure
1:779071 C24H30N6O7
hit structure
1:779072 C10H11N5
hit structure
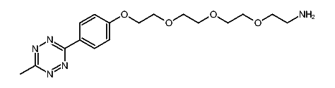
1:779073 C17H25N5O4
hit structure
1:779074 C29H37N3O6
hit structure
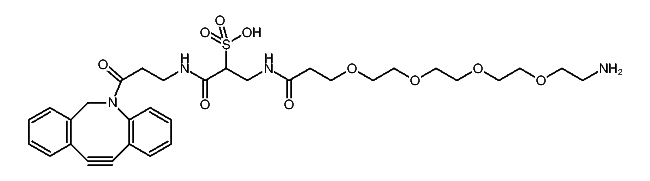
1:779075 C32H42N4O10S
hit structure
1:779076 C21H19NO3
hit structure
1:779077 C25H22N2O5
hit structure
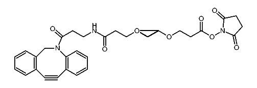
1:779078 C32H40N2O9
hit structure
1:779079 C36H43N3O11
hit structure
1:779080 C59H69N3O14S3
hit structure
1:779081 C25H21N3O4
hit structure
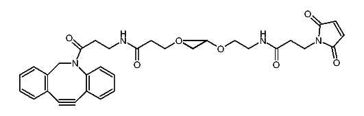
1:779082 C36H42N4O9
hit structure
1:779083 C29H36N2O6
hit structure
1:779084 C39H51N5O8S
hit structure
1:779085 C26H30N2O4
hit structure
1:779086 C26H30N2O4
hit structure
1:779087 C26H30N2O4
hit structure
1:779088 C26H30N2O4
hit structure
1:779089 C9H6N4O2
hit structure
1:779090 C15H10N2O6
hit structure
1:779091 C16H12N2O6
hit structure

1
  <<    <    >    >>  

entries in data collection: 779840