Home Browse Text SearchFunctional Group SearchStructure SearchPreferences Administration

selected data collection: 1

IRIS SDF: browse content


1
  <<    <    >    >>  

1:778992 C14H21NO5
hit structure
1:778993 C12H24BrF6N3P2
hit structure
1:778994 C14H22N4O4
hit structure
1:778995 C9H8N2O7
hit structure
1:778996 C11H16BF4N5O
hit structure
1:778997 C14H20BF4N3O3
hit structure
1:778998 C10H16BF4N3O2
hit structure
1:778999 C9H16BF4N3O3
hit structure
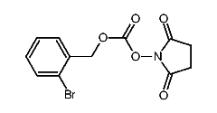
1:779000 C12H10BrNO5
hit structure
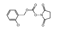
1:779001 C12H10ClNO5
hit structure
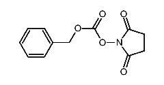
1:779002 C12H11NO5
hit structure
1:779003 C5H12ClF6N2P
hit structure
1:779004 C15H13NO2
hit structure
1:779005 C5H12F7N2P
hit structure
1:779006 C8H8O3
hit structure
1:779007 C5H7N3O3
hit structure
1:779008 C10H16F6N3O2P
hit structure
1:779009 C2H6S2
hit structure
1:779010 C2H6S
hit structure
1:779011 C7H8O
hit structure
1:779012 C7H8S
hit structure
1:779013 C9H22Si
hit structure
1:779014 C10H17BF4N4O3
hit structure
1:779015 C20H17ClO
hit structure
1:779016 C15H12O2
hit structure

1
  <<    <    >    >>  

entries in data collection: 779840