Home Browse Text SearchFunctional Group SearchStructure SearchPreferences Administration

selected data collection: 1

IRIS SDF: browse content


1
  <<    <    >    >>  

1:778802 C26H25N3O3
hit structure
1:778803 C29H30N4O4
hit structure
1:778804 C45H53N7O7S
hit structure
1:778805 C49H45N5O5
hit structure
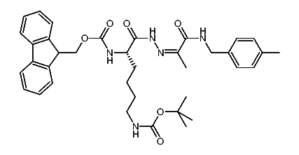
1:778806 C34H38N4O6
hit structure
1:778807 C48H44N4O4S
hit structure
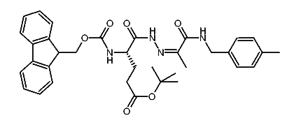
1:778808 C35H40N4O6
hit structure
1:778809 C50H47N5O5
hit structure
1:778810 C28H28N4O4
hit structure
1:778811 C51H46N6O4
hit structure
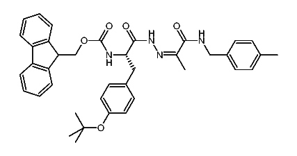
1:778812 C33H38N4O4
hit structure
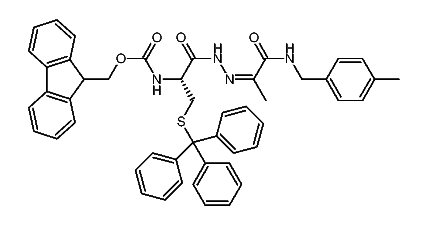
1:778813 C32H36N4O4
hit structure
1:778814 C37H45N5O6
hit structure
1:778815 C31H34N4O4S
hit structure
1:778816 C35H34N4O4
hit structure
1:778817 C31H32N4O4
hit structure
1:778818 C33H38N4O5
hit structure
1:778819 C34H40N4O5
hit structure
1:778820 C42H43N5O6
hit structure
1:778821 C39H42N4O5
hit structure
1:778822 C31H34N4O4
hit structure
1:778823 C23H22ClNO2
hit structure
1:778824 C23H22ClNO2
hit structure
1:778825 C23H22ClNO2
hit structure
1:778826 C39H45ClN4O5S
hit structure

1
  <<    <    >    >>  

entries in data collection: 779840