Home Browse Text SearchFunctional Group SearchStructure SearchPreferences Administration

selected data collection: 1

IRIS SDF: browse content


1
  <<    <    >    >>  

1:778732 C11H21NO6
hit structure
1:778733 C29H52N8O8S3
hit structure
1:778734 C44H60N6O9S3
hit structure
1:778735 C13H26N4O5
hit structure
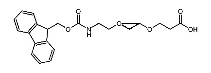
1:778736 C14H24O7
hit structure
1:778737 C25H31NO7
hit structure
1:778738 C27H35NO8
hit structure
1:778739 C29H39NO9
hit structure
1:778740 C31H43NO10
hit structure
1:778741 C20H27N3O7S2
hit structure
1:778742 C20H27N3O7S2
hit structure
1:778743 C20H27N3O7S2
hit structure
1:778744 C20H27N3O7S2
hit structure
1:778745 C5H12O3
hit structure
1:778746 C37H33N3O3
hit structure
1:778747 C37H33N3O3
hit structure
1:778748 C38H57NO14
hit structure
1:778749 C40H35N7O7
hit structure
1:778750 C39H35N5O8
hit structure
1:778751 C40H35N7O8
hit structure
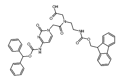
1:778752 C26H26N4O7
hit structure
1:778753 C25H24N4O7
hit structure
1:778754 C24H26N2O6
hit structure
1:778755 C29H34N2O8
hit structure
1:778756 C45H43N3O7
hit structure

1
  <<    <    >    >>  

entries in data collection: 779840