Home Browse Text SearchFunctional Group SearchStructure SearchPreferences Administration

selected data collection: 1

IRIS SDF: browse content


1
  <<    <    >    >>  

1:778698 C19H24BrF4NO7
hit structure
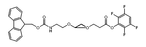
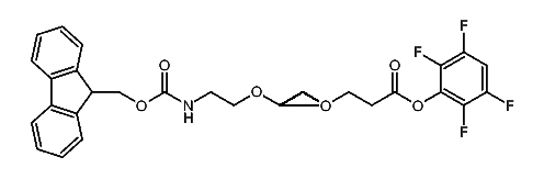
1:778699 C35H56BrF4NO15
hit structure
1:778700 C59H104BrF4NO27
hit structure
1:778701 C44H70N4O18
hit structure
1:778702 C57H101F4N3O26
hit structure
1:778703 C81H149F4N3O38
hit structure
1:778704 C140H246N12O64
hit structure
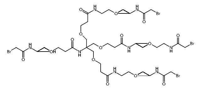
1:778705 C120H230Br4N8O56
hit structure
1:778706 C53H108N2O25
hit structure
1:778707 C26H45NO15
hit structure
1:778708 C58H109NO31
hit structure
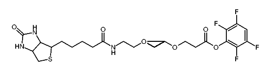
1:778709 C67H117F4N3O28S
hit structure
1:778710 C31H44F4N4O9S
hit structure
1:778711 C47H76F4N4O17S
hit structure
1:778712 C32H33F4NO8
hit structure
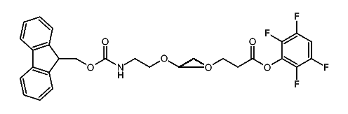
1:778713 C40H49F4NO12
hit structure
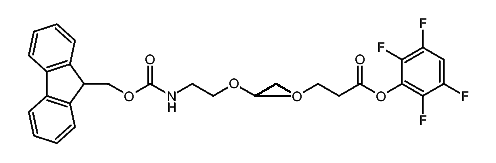
1:778714 C48H65F4NO16
hit structure
1:778715 C72H113F4NO28
hit structure
1:778716 C96H161F4NO40
hit structure
1:778717 C18H35NO8
hit structure
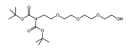
1:778718 C13H28N2O5
hit structure
1:778719 C15H32N2O6
hit structure
1:778720 C72H132N2O34S2
hit structure
1:778721 C9H20N2O3
hit structure
1:778722 C6H13NO4
hit structure

1
  <<    <    >    >>  

entries in data collection: 779840