Home Browse Text SearchFunctional Group SearchStructure SearchPreferences Administration

selected data collection: 1

IRIS SDF: browse content


1
  <<    <    >    >>  

1:778663 C64H82N4O15
hit structure
1:778664 C93H184NO34P
hit structure
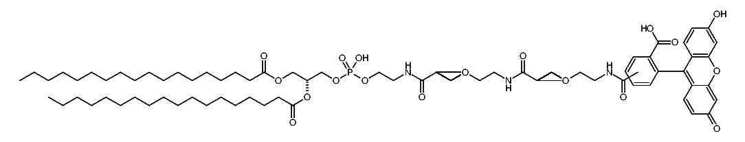
1:778665 C163H299N4O60P
hit structure
1:778666 C159H310N7O65P
hit structure
1:778667 C165H298N3O64P
hit structure
1:778668 C164H319N6O65PS
hit structure
1:778669 C201H390N5O86P
hit structure
1:778670 C237H460N12O112
hit structure
1:778671 C141H256N12O64
hit structure
1:778672 C10H19BrN4O4
hit structure
1:778673 C26H51BrN4O12
hit structure
1:778674 C50H99BrN4O24
hit structure
1:778675 C10H24N4O5S
hit structure
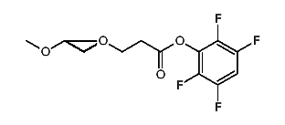
1:778676 C17H22F4O7
hit structure
1:778677 C33H54F4O15
hit structure
1:778678 C57H102F4O27
hit structure
1:778679 C94H149N5O39
hit structure
1:778680 C32H52F4O14
hit structure
1:778681 C56H100F4O26
hit structure
1:778682 C58H104F4O27
hit structure
1:778683 C68H114N2O26
hit structure
1:778684 C45H68N2O14
hit structure
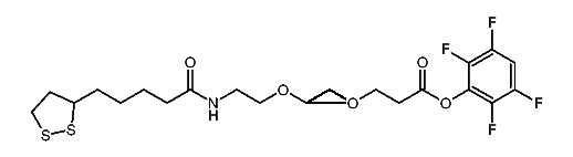
1:778685 C25H35F4NO7S2
hit structure
1:778686 C33H51F4NO11S2
hit structure
1:778687 C41H67F4NO15S2
hit structure

1
  <<    <    >    >>  

entries in data collection: 779840