Home Browse Text SearchFunctional Group SearchStructure SearchPreferences Administration

selected data collection: 1

IRIS SDF: browse content


1
  <<    <    >    >>  

1:778494 C58H91N5O19S
hit structure
1:778495 C56H111NO28
hit structure
1:778496 C80H159NO40
hit structure
1:778497 C83H157NO40
hit structure
1:778498 C47H70O15S
hit structure
1:778499 C39H60N2O19
hit structure
1:778500 C26H29NO4
hit structure
1:778501 C29H60N2O14
hit structure
1:778502 C34H66N4O14S
hit structure
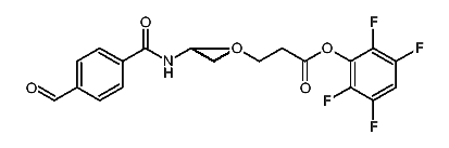
1:778503 C41H59F4NO16
hit structure
1:778504 C65H107F4NO28
hit structure
1:778505 C34H65N3O13S2
hit structure
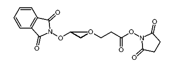
1:778506 C12H15NO5
hit structure
1:778507 C16H20N2O2S4
hit structure
1:778508 C16H20N2O2S4
hit structure
1:778509 C16H20N2O2S4
hit structure
1:778510 C16H20N2O2S4
hit structure
1:778511 C16H20N2O2S4
hit structure
1:778512 C12H19NO3S2
hit structure
1:778513 C12H19NO3S2
hit structure
1:778514 C12H19NO3S2
hit structure
1:778515 C12H19NO3S2
hit structure
1:778516 C12H19NO3S2
hit structure
1:778517 C24H37N5O5S3
hit structure
1:778518 C24H37N5O5S3
hit structure

1
  <<    <    >    >>  

entries in data collection: 779840