Home Browse Text SearchFunctional Group SearchStructure SearchPreferences Administration

selected data collection: 1

IRIS SDF: browse content


1
  <<    <    >    >>  

1:778248 C23H47NO10
hit structure
1:778249 C24H49N3O12
hit structure
1:778250 C31H56N4O16
hit structure
1:778251 C15H24N4O8
hit structure
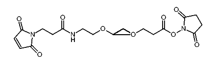
1:778252 C23H40N4O12
hit structure
1:778253 C21H39N5O7S
hit structure
1:778254 C14H26O9
hit structure
1:778255 C22H32N2O13
hit structure
1:778256 C30H48N2O17
hit structure
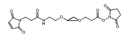
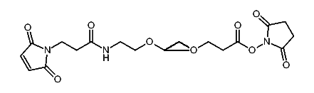
1:778257 C26H38N6O7
hit structure
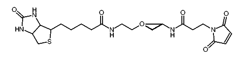
1:778258 C24H34N4O9
hit structure
1:778259 C19H29NO8
hit structure
1:778260 C34H70N4O13
hit structure
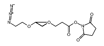
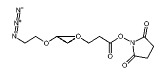
1:778261 C21H37N3O8S
hit structure
1:778262 C15H30O7
hit structure
1:778263 C23H46O11
hit structure
1:778264 C38H63N3O19
hit structure
1:778265 C14H20N2O7
hit structure
1:778266 C18H23N3O9
hit structure
1:778267 C62H111N3O31
hit structure
1:778268 C18H28N2O9
hit structure
1:778269 C22H31N3O11
hit structure
1:778270 C26H39N3O13
hit structure
1:778271 C30H47N3O15
hit structure
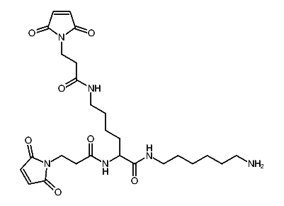
1:778272 C41H71N5O16S
hit structure

1
  <<    <    >    >>  

entries in data collection: 779840