Home Browse Text SearchFunctional Group SearchStructure SearchPreferences Administration

selected data collection: 1

IRIS SDF: browse content


1
  <<    <    >    >>  

1:778139 C6H14O2S2
hit structure
1:778140 C6H14O2S2
hit structure
1:778141 C14H16N2O6
hit structure
1:778142 C14H16N2O6
hit structure
1:778143 C14H16N2O6
hit structure
1:778144 C14H16N2O6
hit structure
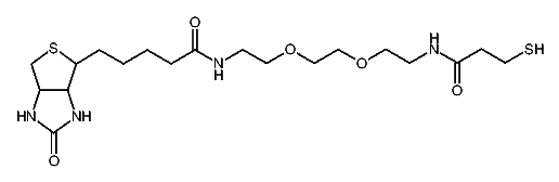
1:778145 C34H38N2O7S
hit structure
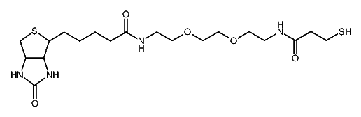
1:778146 C34H38N2O7S
hit structure
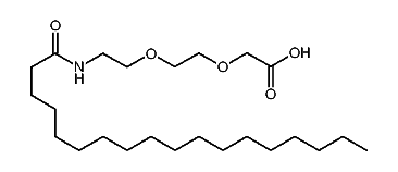
1:778147 C24H47NO5
hit structure
1:778148 C16H36N2O7
hit structure
1:778149 C70H127N3O35
hit structure
1:778150 C74H129NO32
hit structure
1:778151 C19H34N4O5S2
hit structure
1:778152 C19H34N4O5S2
hit structure
1:778153 C19H34N4O5S2
hit structure
1:778154 C7H15N3O3
hit structure
1:778155 C12H24N2O7
hit structure
1:778156 C54H48N2O6
hit structure
1:778157 C39H41NO7
hit structure
1:778158 C26H25NO5
hit structure
1:778159 C55H47N3O5
hit structure
1:778160 C36H37NO5
hit structure
1:778161 C36H37NO5
hit structure
1:778162 C41H46N2O7
hit structure
1:778163 C35H35NO5S
hit structure

1
  <<    <    >    >>  

entries in data collection: 779840