Home Browse Text SearchFunctional Group SearchStructure SearchPreferences Administration

selected data collection: 1

IRIS SDF: browse content


1
  <<    <    >    >>  

1:776934 C22H24N2O5S
hit structure
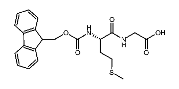
1:776935 C27H29N3O7
hit structure
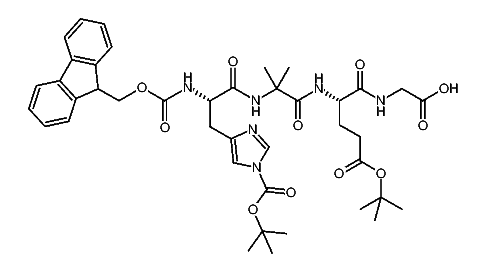
1:776936 C31H34N2O7
hit structure
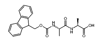
1:776937 C26H35N5O5
hit structure
1:776938 C32H36N2O7
hit structure
1:776939 C29H30N2O7
hit structure
1:776940 C34H38N2O9
hit structure
1:776941 C28H28N2O7
hit structure
1:776942 C32H36N2O7
hit structure
1:776943 C21H22N2O5
hit structure
1:776944 C45H40N4O5
hit structure
1:776945 C32H36N2O6
hit structure
1:776946 C25H26N4O5
hit structure
1:776947 C30H33N3O6
hit structure
1:776948 C23H24N2O5
hit structure
1:776949 C41H52N6O11
hit structure
1:776950 C25H30N2O5
hit structure
1:776951 C60
hit structure
1:776952 C84H28O4
hit structure
1:776953 C72H14O2
hit structure
1:776954 C60H60O60
hit structure
1:776955 C70
hit structure
1:776956 C94H28O4
hit structure
1:776957 C82H14O2
hit structure
1:776958 C69H6O12
hit structure

1
  <<    <    >    >>  

entries in data collection: 779840