Home Browse Text SearchFunctional Group SearchStructure SearchPreferences Administration

selected data collection: 1

IRIS SDF: browse content


1
  <<    <    >    >>  

1:775376 C15H21NO4
hit structure
1:775377 C11H17NO
hit structure
1:775378 C15H21NO4
hit structure
1:775379 C11H17NO
hit structure
1:775380 C11H15BrO
hit structure
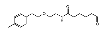
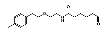
1:775381 C17H25NO3
hit structure
1:775382 C18H30O5
hit structure
1:775383 C19H22O4
hit structure
1:775384 C18H20O3
hit structure
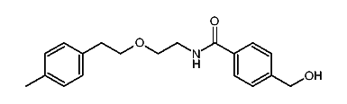
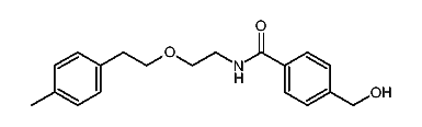
1:775385 C19H23NO3
hit structure
1:775386 C43H44N2O7
hit structure
1:775387 C16H22O4
hit structure
1:775388 C11H16OS
hit structure
1:775389 C31H31NO3
hit structure
1:775390 C18H22O3
hit structure
1:775391 C11H15BrO
hit structure
1:775392 C17H25NO3
hit structure
1:775393 C18H30O5
hit structure
1:775394 C19H22O4
hit structure
1:775395 C18H20O3
hit structure
1:775396 C19H23NO3
hit structure
1:775397 C43H44N2O7
hit structure
1:775398 C16H22O4
hit structure
1:775399 C11H16OS
hit structure
1:775400 C31H31NO3
hit structure

1
  <<    <    >    >>  

entries in data collection: 779840