Home Browse Text SearchFunctional Group SearchStructure SearchPreferences Administration

selected data collection: 1

IRIS SDF: browse content


1
  <<    <    >    >>  

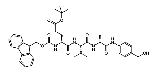
1:774382 C49H57N7O13
hit structure
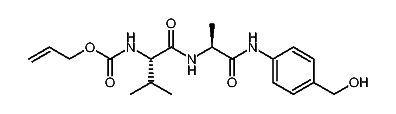
1:774383 C39H48N4O8
hit structure
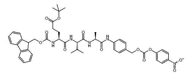
1:774384 C46H51N5O12
hit structure
1:774385 C19H27N3O5
hit structure
1:774386 C22H33N5O6
hit structure
1:774387 C12H14N2O
hit structure
1:774388 C9H18N2O2
hit structure
1:774389 C15H14N2O2
hit structure
1:774390 C11H26N2O4
hit structure
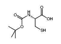
1:774391 C8H15NO4S
hit structure
1:774392 C27H29NO4S
hit structure
1:774393 C13H22N2O6
hit structure
1:774394 C24H28N2O6
hit structure
1:774395 C9H18N2O4
hit structure
1:774396 C23H26N2O6
hit structure
1:774397 C23H26N2O6
hit structure
1:774398 C10H18N2O5
hit structure
1:774399 C13H21NO6
hit structure
1:774400 C17H23NO6
hit structure
1:774401 C16H31NO4
hit structure
1:774402 C17H33NO4
hit structure
1:774403 C12H15NO4
hit structure
1:774404 C12H15NO4
hit structure
1:774405 C12H15NO4
hit structure
1:774406 C13H17NO4
hit structure

1
  <<    <    >    >>  

entries in data collection: 779840