Home Browse Text SearchFunctional Group SearchStructure SearchPreferences Administration

selected data collection: 1

IRIS SDF: browse content


1
  <<    <    >    >>  

1:774332 C32H51N5O10
hit structure
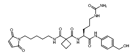
1:774333 C39H54N6O14
hit structure
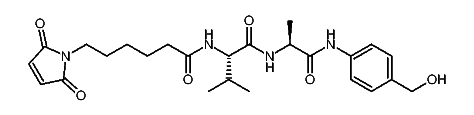
1:774334 C36H55N7O12
hit structure
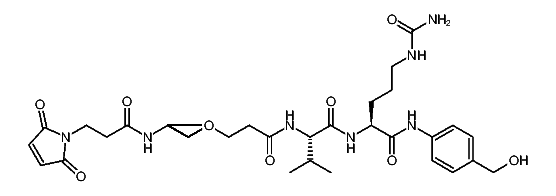
1:774335 C43H58N8O16
hit structure
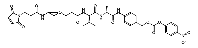
1:774336 C43H57N7O9
hit structure
1:774337 C25H34N4O6
hit structure
1:774338 C32H37N5O10
hit structure
1:774339 C21H32N6O4
hit structure
1:774340 C28H35N7O8
hit structure
1:774341 C20H27N3O4
hit structure
1:774342 C27H30N4O8
hit structure
1:774343 C26H42N6O8
hit structure
1:774344 C33H45N7O12
hit structure
1:774345 C29H45N3O9
hit structure
1:774346 C36H48N4O13
hit structure
1:774347 C33H49N5O11
hit structure
1:774348 C40H52N6O15
hit structure
1:774349 C40H51N5O8
hit structure
1:774350 C28H38N6O7
hit structure
1:774351 C35H41N7O11
hit structure
1:774352 C22H32N8O5
hit structure
1:774353 C29H35N9O9
hit structure
1:774354 C22H29N5O5
hit structure
1:774355 C29H32N6O9
hit structure
1:774356 C37H40N6O6
hit structure

1
  <<    <    >    >>  

entries in data collection: 785470