Home Browse Text SearchFunctional Group SearchStructure SearchPreferences Administration

selected data collection: 1

IRIS SDF: browse content


1
  <<    <    >    >>  

1:773178 C35H40N4O6
hit structure
1:773179 C50H47N5O5
hit structure
1:773180 C28H28N4O4
hit structure
1:773181 C51H46N6O4
hit structure
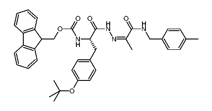
1:773182 C33H38N4O4
hit structure
1:773183 C32H36N4O4
hit structure
1:773184 C37H45N5O6
hit structure
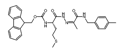
1:773185 C31H34N4O4S
hit structure
1:773186 C35H34N4O4
hit structure
1:773187 C31H32N4O4
hit structure
1:773188 C33H38N4O5
hit structure
1:773189 C34H40N4O5
hit structure
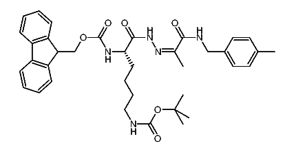
1:773190 C42H43N5O6
hit structure
1:773191 C39H42N4O5
hit structure
1:773192 C31H34N4O4
hit structure
1:773193 C23H22ClNO2
hit structure
1:773194 C23H22ClNO2
hit structure
1:773195 C23H22ClNO2
hit structure
1:773196 C39H45ClN4O5S
hit structure
1:773197 C39H45ClN4O5S
hit structure
1:773198 C39H45ClN4O5S
hit structure
1:773199 C37H30ClNO4
hit structure
1:773200 C22H20ClNO2
hit structure
1:773201 C22H20ClNO2
hit structure
1:773202 C24H23ClN2O3
hit structure

1
  <<    <    >    >>  

entries in data collection: 774210