Home Browse Text SearchFunctional Group SearchStructure SearchPreferences Administration

selected data collection: 1

IRIS SDF: browse content


1
  <<    <    >    >>  

1:773050 C32H52F4O14
hit structure
1:773051 C56H100F4O26
hit structure
1:773052 C58H104F4O27
hit structure
1:773053 C68H114N2O26
hit structure
1:773054 C45H68N2O14
hit structure
1:773055 C25H35F4NO7S2
hit structure
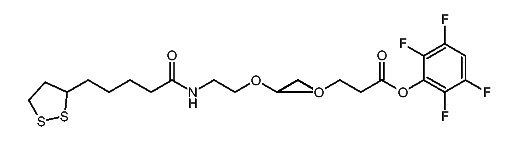
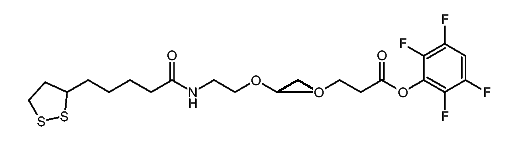
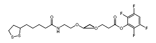
1:773056 C33H51F4NO11S2
hit structure
1:773057 C41H67F4NO15S2
hit structure
1:773058 C65H115F4NO27S2
hit structure
1:773059 C89H163F4NO39S2
hit structure
1:773060 C66H126N4O26S3
hit structure
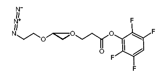
1:773061 C20H20F4N2O7
hit structure
1:773062 C24H28F4N2O9
hit structure
1:773063 C32H44F4N2O13
hit structure
1:773064 C40H60F4N2O17
hit structure
1:773065 C64H108F4N2O29
hit structure
1:773066 C88H156F4N2O41
hit structure
1:773067 C115H209F4N3O54
hit structure
1:773068 C19H24BrF4NO7
hit structure
1:773069 C35H56BrF4NO15
hit structure
1:773070 C59H104BrF4NO27
hit structure
1:773071 C44H70N4O18
hit structure
1:773072 C57H101F4N3O26
hit structure
1:773073 C81H149F4N3O38
hit structure
1:773074 C140H246N12O64
hit structure

1
  <<    <    >    >>  

entries in data collection: 774210