Home Browse Text SearchFunctional Group SearchStructure SearchPreferences Administration

selected data collection: 1

IRIS SDF: browse content


1
  <<    <    >    >>  

1:773030 C102H204N2O51
hit structure
1:773031 C28H54Br2N2O13
hit structure
1:773032 C193H296N12O60
hit structure
1:773033 C64H82N4O15
hit structure
1:773034 C93H184NO34P
hit structure
1:773035 C163H299N4O60P
hit structure
1:773036 C159H310N7O65P
hit structure
1:773037 C165H298N3O64P
hit structure
1:773038 C164H319N6O65PS
hit structure
1:773039 C201H390N5O86P
hit structure
1:773040 C237H460N12O112
hit structure
1:773041 C141H256N12O64
hit structure
1:773042 C10H19BrN4O4
hit structure
1:773043 C26H51BrN4O12
hit structure
1:773044 C50H99BrN4O24
hit structure
1:773045 C10H24N4O5S
hit structure
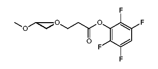
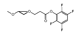
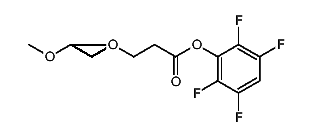
1:773046 C17H22F4O7
hit structure
1:773047 C33H54F4O15
hit structure
1:773048 C57H102F4O27
hit structure
1:773049 C94H149N5O39
hit structure
1:773050 C32H52F4O14
hit structure
1:773051 C56H100F4O26
hit structure
1:773052 C58H104F4O27
hit structure
1:773053 C68H114N2O26
hit structure
1:773054 C45H68N2O14
hit structure

1
  <<    <    >    >>  

entries in data collection: 774210