Home Browse Text SearchFunctional Group SearchStructure SearchPreferences Administration

selected data collection: 1

IRIS SDF: browse content


1
  <<    <    >    >>  

1:773022 C42H79BrN6O19
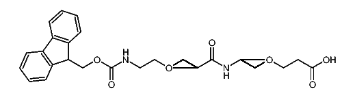
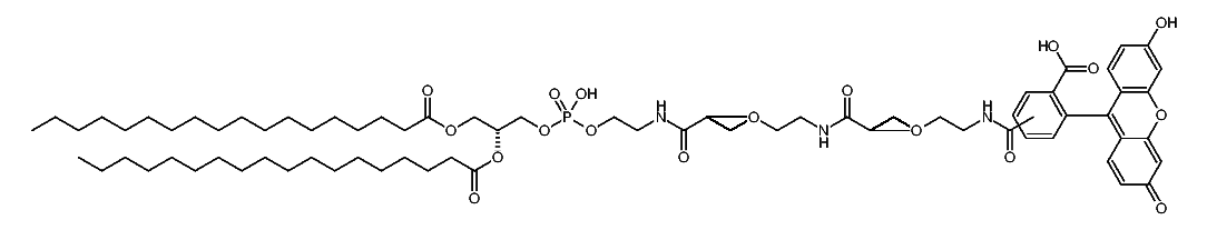
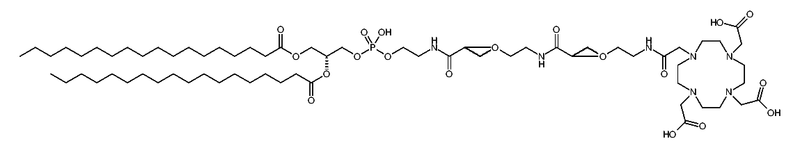
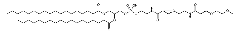
hit structure
1:773023 C144H285N2O59P
hit structure
1:773024 C109H205F4NO52
hit structure
1:773025 C25H28O3S
hit structure
1:773026 C103H205NO52
hit structure
1:773027 C78H151BrN6O31
hit structure
1:773028 C117H214N2O53
hit structure
1:773029 C110H210N2O53
hit structure
1:773030 C102H204N2O51
hit structure
1:773031 C28H54Br2N2O13
hit structure
1:773032 C193H296N12O60
hit structure
1:773033 C64H82N4O15
hit structure
1:773034 C93H184NO34P
hit structure
1:773035 C163H299N4O60P
hit structure
1:773036 C159H310N7O65P
hit structure
1:773037 C165H298N3O64P
hit structure
1:773038 C164H319N6O65PS
hit structure
1:773039 C201H390N5O86P
hit structure
1:773040 C237H460N12O112
hit structure
1:773041 C141H256N12O64
hit structure
1:773042 C10H19BrN4O4
hit structure
1:773043 C26H51BrN4O12
hit structure
1:773044 C50H99BrN4O24
hit structure
1:773045 C10H24N4O5S
hit structure
1:773046 C17H22F4O7
hit structure

1
  <<    <    >    >>  

entries in data collection: 774210