Home Browse Text SearchFunctional Group SearchStructure SearchPreferences Administration

selected data collection: 1

IRIS SDF: browse content


1
  <<    <    >    >>  

1:770216 C23H20N2O4
hit structure
1:770217 C31H36N4O7S
hit structure
1:770218 C30H25NO4
hit structure
1:770219 C31H25NO5
hit structure
1:770220 C23H25NO4
hit structure
1:770221 C21H23NO4
hit structure
1:770222 C25H23NO4
hit structure
1:770223 C27H27N3O5
hit structure
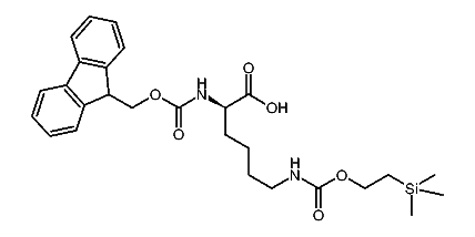
1:770224 C27H36N2O6Si
hit structure
1:770225 C29H30N2O6
hit structure
1:770226 C21H23NO4
hit structure
1:770227 C39H35NO4S
hit structure
1:770228 C24H19Cl2NO4
hit structure
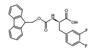
1:770229 C24H19F2NO4
hit structure
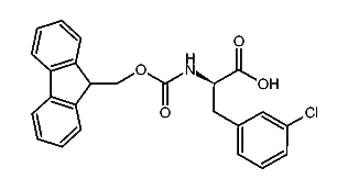
1:770230 C24H20ClNO4
hit structure
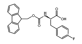
1:770231 C24H20FNO4
hit structure
1:770232 C24H20BrNO4
hit structure
1:770233 C24H20FNO4
hit structure
1:770234 C25H23NO4
hit structure
1:770235 C24H20N2O6
hit structure
1:770236 C23H19NO4
hit structure
1:770237 C20H17NO4
hit structure
1:770238 C31H27NO5
hit structure
1:770239 C28H23NO4
hit structure
1:770240 C23H27NO4
hit structure

1
  <<    <    >    >>  

entries in data collection: 774210