Home Browse Text SearchFunctional Group SearchStructure SearchPreferences Administration

selected data collection: 1

IRIS SDF: browse content


1
  <<    <    >    >>  

1:769918 C34H30F3NO7S
hit structure
1:769919 C39H42N4O7S
hit structure
1:769920 C23H27NO5
hit structure
1:769921 C30H32BNO6
hit structure
1:769922 C34H39BN2O7
hit structure
1:769923 C28H28N2O6
hit structure
1:769924 C45H62N10O13
hit structure
1:769925 C51H72N12O15
hit structure
1:769926 C29H32N2O6
hit structure
1:769927 C25H29NO6
hit structure
1:769928 C26H31NO6
hit structure
1:769929 C27H33NO6
hit structure
1:769930 C25H27NO4
hit structure
1:769931 C28H27NO4
hit structure
1:769932 C28H27NO4
hit structure
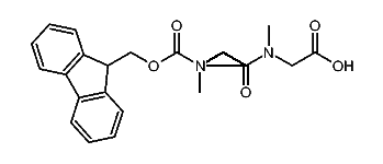
1:769933 C18H17NO4
hit structure
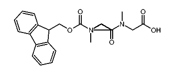
1:769934 C18H17NO4
hit structure
1:769935 C34H40N4O7S
hit structure
1:769936 C36H41F3N4O7S
hit structure
1:769937 C38H32N2O5
hit structure
1:769938 C39H34N2O6
hit structure
1:769939 C23H25NO6
hit structure
1:769940 C25H20N2O4S
hit structure
1:769941 C38H33NO5S
hit structure
1:769942 C37H31NO4S
hit structure

1
  <<    <    >    >>  

entries in data collection: 774210