Home Browse Text SearchFunctional Group SearchStructure SearchPreferences Administration

selected data collection: 1

IRIS SDF: browse content


1
  <<    <    >    >>  

1:766640 C34H55N5O9S3
hit structure
1:766641 C21H25N5O5
hit structure
1:766642 C13H20N2O2S2
hit structure
1:766643 C18H26N4O2S
hit structure
1:766644 C26H35N3O4S
hit structure
1:766645 C18H26N2O4S
hit structure
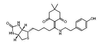
1:766646 C30H47N5O5S
hit structure
1:766647 C187H291N45O59
hit structure
1:766648 C172H265N43O51
hit structure
1:766649 C20H29N3O3S
hit structure
1:766650 C18H18ClFN4O2
hit structure
1:766651 C18H18ClFN4O2
hit structure
1:766652 C26H24N4O2
hit structure
1:766653 C22H19Cl2N5O2
hit structure
1:766654 C22H27FN4O2
hit structure
1:766655 C32H38N8O
hit structure
1:766656 C29H36Cl2N6O3
hit structure
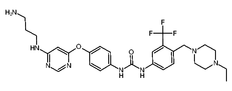
1:766657 C28H35F3N8O2
hit structure
1:766658 C26H23F3N4O4
hit structure
1:766659 C26H23F3N4O4
hit structure
1:766660 C28H45N5O6S3
hit structure
1:766661 C12H21N3O2S2
hit structure
1:766662 C23H42N4O6S2
hit structure
1:766663 C28H30N4O3S
hit structure
1:766664 C20H25N7O2S
hit structure

1
  <<    <    >    >>  

entries in data collection: 768580