Home Browse Text SearchFunctional Group SearchStructure SearchPreferences Administration

selected data collection: 1

IRIS SDF: browse content


1
  <<    <    >    >>  

1:764163 C34H42N2O6
hit structure
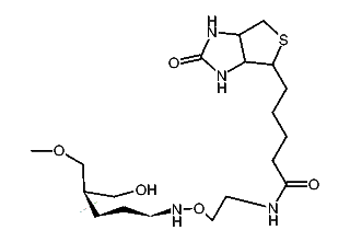
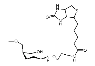
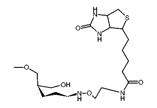
1:764164 C15H23NO4S
hit structure
1:764165 C34H42N2O6
hit structure
1:764166 C32H38N2O6
hit structure
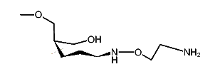
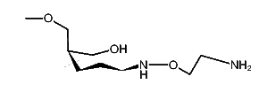
1:764167 C11H28N2O3
hit structure
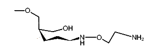
1:764168 C11H28N2O3
hit structure
1:764169 C11H28N2O3
hit structure
1:764170 C11H28N2O3
hit structure
1:764171 C11H28N2O3
hit structure
1:764172 C11H28N2O3
hit structure
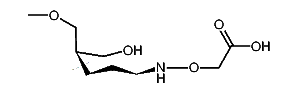
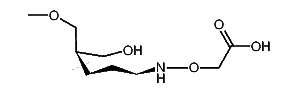
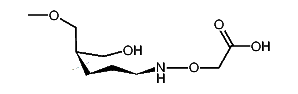
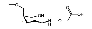
1:764173 C11H25NO5
hit structure
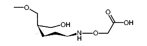
1:764174 C11H25NO5
hit structure
1:764175 C11H25NO5
hit structure
1:764176 C11H25NO5
hit structure
1:764177 C11H25NO5
hit structure
1:764178 C11H25NO5
hit structure
1:764179 C21H42N4O5S
hit structure
1:764180 C21H42N4O5S
hit structure
1:764181 C21H42N4O5S
hit structure
1:764182 C21H42N4O5S
hit structure
1:764183 C21H42N4O5S
hit structure
1:764184 C12H29NO3S
hit structure
1:764185 C25H23N3O2
hit structure
1:764186 C47H51FN7O7P
hit structure
1:764187 C41H49FN5O8P
hit structure

1
  <<    <    >    >>  

entries in data collection: 768580