Home Browse Text SearchFunctional Group SearchStructure SearchPreferences Administration

selected data collection: 1

IRIS SDF: browse content


1
  <<    <    >    >>  

1:763459 C22H34N2O6
hit structure
1:763460 C10H19NO5S
hit structure
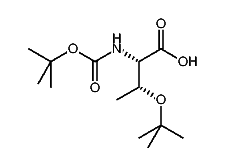
1:763461 C11H21NO4
hit structure
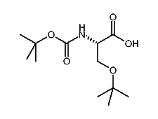
1:763462 C10H19NO4
hit structure
1:763463 C18H25ClN2O6
hit structure
1:763464 C14H18ClNO4
hit structure
1:763465 C14H18FNO4
hit structure
1:763466 C14H17Cl2NO4
hit structure
1:763467 C14H17F2NO4
hit structure
1:763468 C14H18ClNO4
hit structure
1:763469 C14H18INO4
hit structure
1:763470 C14H18BrNO4
hit structure
1:763471 C14H18ClNO4
hit structure
1:763472 C15H21NO4
hit structure
1:763473 C14H20N2O4
hit structure
1:763474 C29H30N2O6
hit structure
1:763475 C22H26N2O6
hit structure
1:763476 C14H18N2O6
hit structure
1:763477 C14H14F5NO4
hit structure
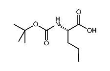
1:763478 C10H15NO4
hit structure
1:763479 C12H23NO5
hit structure
1:763480 C13H25NO5
hit structure
1:763481 C21H23Cl2NO5
hit structure
1:763482 C14H17I2NO5
hit structure
1:763483 C19H27NO7
hit structure

1
  <<    <    >    >>  

entries in data collection: 768580