Home Browse Text SearchFunctional Group SearchStructure SearchPreferences Administration

selected data collection: 1

IRIS SDF: browse content


1
  <<    <    >    >>  

1:763005 C12H21NO5
hit structure
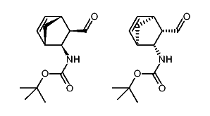
1:763006 C15H16N2O4
hit structure
1:763007 C17H23NO5
hit structure
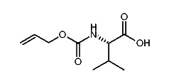
1:763008 C9H15NO4
hit structure
1:763009 C22H22N2O6
hit structure
1:763010 C5H8N6O3
hit structure
1:763011 C23H24N2O6
hit structure
1:763012 C20H24N2O6
hit structure
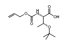
1:763013 C10H18N2O4
hit structure
1:763014 C25H32N2O4
hit structure
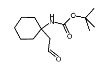
1:763015 C13H17NO4
hit structure
1:763016 C24H24N2O6
hit structure
1:763017 C27H26N2O5
hit structure
1:763018 C10H17NO4
hit structure
1:763019 C7H11NO4
hit structure
1:763020 C22H38N2O6
hit structure
1:763021 C26H42N2O6
hit structure
1:763022 C26H38N2O6
hit structure
1:763023 C28H46N2O6
hit structure
1:763024 C13H23NO3
hit structure
1:763025 C12H21NO3
hit structure
1:763026 C22H34N2O6
hit structure
1:763027 C12H21NO3
hit structure
1:763028 C13H23NO3
hit structure
1:763029 C24H42N2O6
hit structure

1
  <<    <    >    >>  

entries in data collection: 768580